Millions of visitors flock to Yellowstone National Park each summer to gawk at geysers, waterfalls and charismatic megafauna like elk.
Bugling bulls and their harems of cows are a major part of the draw to the iconic western park that’s been protected for the past 150 years. Down the Yellowstone plateau dozens of miles to the east, however, the landscape is privately owned, increasingly valuable and changing rapidly. And the same elk spend much of their lives there.
“These herds are important not only to the folks that live in Cody and who own property here, but they’re, what I would consider, a worldwide resource because of the use in Yellowstone,” said Tony Mong, a wildlife biologist with the Wyoming Game and Fish Department who manages the Cody and Clarks Fork elk herds.
Private landowners, he said, represent a “piece of the puzzle” that will ensure Yellowstone elk thrive for generations to come.

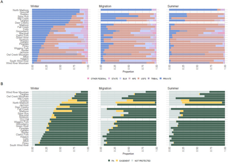
While it’s no secret elk are high-country critters that migrate to ranchlands, foothills and river valleys where humans tend to live, their dependence on the private ground has only recently been scientifically quantified. The data, curated by former University of California-Berkeley postdoc Laura Gigliotti, expose a vulnerability: More than 36% of all the mapped elk habitat in the Greater Yellowstone Ecosystem lacks even basic zoning. It’s land that’s ripe for real estate development in an era of sky-high interest in owning a piece of the West.
“We only focus on elk in the GYE, but this is something that’s happening throughout the world,” Gigliotti said. “Thinking about conservation that spans these different [land ownerships] is relevant beyond just this one particular system.”
Gigliotti’s research took stock of all 26 elk herds that fan out from the Greater Yellowstone Ecosystem’s interior toward its fringes come winter. It involved mapping the movements of 1,088 GPS-collared elk into seasonal ranges and cross-referencing those movements with databases showing land ownership, protected areas and the numbers of properties. The study, recently published in the journal of Biological Conservation, also quantifies humankind’s other influences on the seasonal ranges of each individual elk herd, like fence density, energy-related infrastructure and cattle.
Gigliotti’s high-level analysis was overdue, said UC-Berkeley wildlife policy professor Arthur Middleton, who advised the research and has spent a decade studying migratory Yellowstone ecosystem elk. He sees Gigliotti’s work as foundational, the type of “back to the basics” research that provides context and direction to more targeted studies like how elk are affected by development. (Disclosure: Middleton is married to WyoFile board member Anna Sale.)
“In a sense, it’s the paper we should have done 10 years ago that would inform where we went next,” Middleton said. “It took me a while to realize we had skipped the meat and potatoes.”
‘Meat and potatoes’
That research reveals which elk herds are most vulnerable to development, where and at what time of year.
In the Bighorn Basin, for example, just 25% of the Clarks Fork herd winter range and 18% of Cody herd winter range falls on lands where there’s some type of zoning. For now, much of that habitat sits on large ranches sprawled out at the base of the Absarokas. It’s still open country; there’s just one building per square mile on the Clarks Fork herd’s winter range and 1.9 buildings per square mile where the Cody herd dwells. But that could change as development pressure increases.

Other Wyoming elk herds are already more pressed by people.
Where wapiti crowd on feedgrounds in the southern Greater Yellowstone Ecosystem, the Fall Creek herd navigates a winter landscape where there are 20 buildings per square mile. Just north of there where the Jackson herd winters, building density exceeds 12.5 per square mile.
Both those herds, notably, are faring well — and subdivision and ranchland-dwelling Jackson Hole elk particularly well.
Elk as a species are thriving, and often overpopulated. That’s especially true in central Wyoming where large carnivores like wolves and grizzly bears are lacking, but many Yellowstone-area herds are also more populous than wildlife managers’ objectives.

“Being on private lands isn’t inherently a problem,” Middleton said. “In fact, elk can thrive, like many other wildlife, on private lands.”
While there’s no inherent conflict with elk depending on private lands, he said, their vulnerability stems from the development that can take place on that land.
A forthcoming paper of Gigliotti’s that’s in the peer-review stage quantifies just how much development elk tend to tolerate. It’s a complementary study that also takes a broad look at the large ungulates all around the Greater Yellowstone Ecosystem, examining 21 herds.
“What we could see is that, across all scales, when you start to get between 1% and 2% of habitat area developed, you start to get avoidance,” Middleton said. “There’s a tendency for elk to not use areas with more than that level of development where they spend the winter.”
If winter range did include even those lightly developed areas, elk tended not to use that portion of their range as much, he said.
As long as the fringes of the Greater Yellowstone Ecosystem continue to get subdivided, that means the region’s elk will have fewer places left to roam. For big game species, habitat alteration and loss is often a proven formula for population decline.
Development threat
While the hottest markets of the region, like Jackson Hole and Bozeman, Montana, are transforming fast, even slower-growing places like Park County are coveted. There’s been enough interest in the Absaroka front ranching life that even Kanye West infamously tried it out.
“There is very little property in Park County at the moment that is immune from some sort of development,” Park County Commissioner Lee Livingston told WyoFile in an email.

The commission is in the process of revising a land-use plan that provides zoning recommendations for the county. It’s the type of document that, in theory, could prescribe protections for prized ecological assets like the Cody and Clarks Fork elk herds.
The current plan, nearly a quarter-century old, makes no mention of elk, but in preparation for the revision Livingston and other commissioners have held a series of meetings with Mong and other Game and Fish staffers to learn about wildlife, including elk, on private lands.
“They’ve been very responsive to the data we have,” Mong said, “and are trying to incorporate that data into the planning process.”
The outcome could be some type of wildlife-specific overlay in the land use plan.
Still, it’s unlikely that Park County’s updated plan will include regulations requiring the protection of the Cody and Clarks Fork herds’ privately owned winter habitat. Even Livingston, who’s a hunting outfitter, isn’t sure landowners ought to be forced to perpetuate wildlife habitat. Incentive-based programs are a better path forward, he said.
“I would like to see as much land remain open and available for wildlife,” Livingston wrote, “but I don’t feel that the landowner should be forced to bear the entire cost of that.”

That attitude isn’t a surprise to professional wildlife advocates who’ve tried to move the needle on county zoning regulations in places like Park County. Early in his time at the Greater Yellowstone Coalition, Scott Christensen, now the executive director, was the organization’s private stewardship director. More than a decade ago he tried and failed to tilt planning and zoning regulations toward conservation in conservative areas like Sublette and Park County.
“I found that the counties, at that point, basically were politically unwilling to make big improvements in their land-use plans,” Christensen said.
“Everybody wants to see elk continue to be a part of the landscape — and pronghorn, mule deer and everything else,” he said, adding that “the hard part is when you get down to the more fine-grain discussion of what it takes to do that. It’s going to take limits on development. It’s going to take landowner X seeing his land value go from $2 million to $500,000 because he’s not going to be able to put as many houses on it.”
Path to protection
On the upside, Christensen said, there’s a “massive amount of funding” currently available for private-land wildlife conservation in Wyoming in particular.
The Absaroka front has been identified as a priority area where landowners are eligible for a $16 million initial infusion of U.S. Department of Agriculture funding.
The bulk of the USDA funding, $10 million, is for permanent conservation easements within migration corridors. Although they’ve been scientifically documented, the elk migrations in the region have not been designated through the state of Wyoming’s process — elk as a species, in fact, are not eligible under the state’s policy. Because the Abrasoka front was identified as a priority area, the elk habitat there qualifies for the conservation easement funding, Middleton said.
Other funds can be used for habitat improvement projects and conservation leases that pay landowners to keep their land undeveloped for 10 to 15 years.
Momentum is building for non-regulatory means of protecting Greater Yellowstone Ecosystem elk and other migratory wildlife on private lands. This fall the state of Wyoming and USDA entered into a memorandum of understanding creating a partnership that seeks to conserve, restore, manage and steward public and private land in support of migration.

“Ranchers and farmers really do deserve to be recognized and rewarded for their role in wildlife management,” Gov. Mark Gordon said while formalizing the MOU. “Wildlife in Wyoming depends on those private lands and on the importance of making sure that family ranches and private landowners have a great way to work together to make sure that we continue to have good wildlife populations.”
Institutional support is also coming online to support private land conservation in the Bighorn Basin. Currently there’s no land trust devoted to the region, but that’s changing. The Jackson Hole Land Trust will soon launch a chapter there, similar to its programs in the Green and Wind River valleys, according to executive director Max Ludington.
Middleton, for his part, is making a concerted effort to make the science he has advised more actionable for wildlife managers and county planners. He’s positioned himself to serve as a unique resource by going “way out of his comfort zone” and taking on a senior advisor role for wildlife conservation at the USDA early this year.
“For me, it’s not necessarily about what’s the next research study,” Middleton said. “It’s about how we connect this to government, and to programs and to getting boots on the ground to do something about it.”

“Study reveals Yellowstone elk reliance on unprotected private land.”
Reliance or opportunity? As a kid, I crossed my neighbors property all the time. Plenty of other options were available. Does the “study” examine need or just show use?
“Both those herds, notably, are faring well — and subdivision and ranchland-dwelling Jackson Hole elk particularly well. Elk as a species are thriving, and often overpopulated.”
But then they say: “when you start to get between 1% and 2% of habitat area developed, you start to get avoidance,” Middleton said. “There’s a tendency for elk to not use areas with more than that level of development where they spend the winter.”
Yep. Overpopulated. And doing fine managing subdivisions in Jackson. Highways are a bigger issue but elk manage. More die from hunters than highways and subdivisions. Perhaps the real threat is hunters. And perhaps we need the The Jackson Hole Land Trust like a hole in the head. They are anti-people, anti-developmenrt of any kind, pro over-population of wildlife. My truck’s front end looks forward to managing the population.
“While the hottest markets of the region, like Jackson Hole and Bozeman, Montana, are transforming fast.”
Sorry, but Teton County isn’t changing its habitat to any great degree at this point in time. Maybe Bozeman is. 99.9% of Teton County is developed as much as it is going to be developed. It is mostly federal land. Jackson Hole’s core housing sectors are a small blip on the radar screen. Elk have many ways to navigate the valley well into the future.
“Christensen said, there’s a “massive amount of funding” currently available for private-land wildlife conservation in Wyoming in particular. The Absaroka front has been identified as a priority area where landowners are eligible for a $16 million initial infusion of U.S. Department of Agriculture funding. The bulk of the USDA funding, $10 million, is for permanent conservation easements within migration corridors. Other funds can be used for habitat improvement projects and conservation leases that pay landowners to keep their land undeveloped for 10 to 15 years. ”
I am sure the wealthy and the welfare-queen ranchers are licking their chops over the unnecessary handouts. Elk are not endangered. Neither is their habitat except from an over-population of elk. Conservation easements and payouts to the ag industry are ripe with examples of abuse. The money is better spent developing public-land habitat for wildlife and humans.
“Ranchers and farmers really do deserve to be recognized and rewarded for their role in wildlife management,”
Yeah. Right. That’s funny. Give me money not to work. Or subsidize my lifestyle with federal dollars and giveaways like cattle on federal land for less than the cost of a 4th-of-July hotdog.
REFUGE FROM ATVs, QUADS, 4 WHEELERS, ELECTRIC BIKES, ETC.: For many elk, deer and antelope private land is a greatly appreciated refuge from the ever increasing recreational use of the USFS and BLM public lands. This is really noticeable in the Big Horns where the USFS created secure wildlife habitat by closing trails. The hunting pressure can be so heavy in the Big Horns that the elk migrate to private land in the foothills for protection. Private landowners restrict vehicular access to their properties which commonly entails no open public hunting. In many situations, the private land owners do a better job of managing the herds than Game and Fish which must sell licenses and have public access for the public hunters. The result of course is situations like the Elk Mountain checker board land case pitting the public against private landowners restricting access. The Catch 22 is that the public with all of their off road toys are forcing the wildlife onto private land where the ranchers protect them and feed them. Thank you Mike for recognizing the critical role our Wyoming ranchers play in protecting wildlife.
P.S. Had lunch today with a ranch couple whose place is on the Absaroka front. They had 300 elk migrate through them yesterday – these are elk that have moved down from the wilderness area. No complaints from them – they thoroughly enjoyed hosting the elk – the elk did have to pose for photos of course. This is going on all over Wyoming right now as the elk move down to the private land.
First of all the big talking point for bringing in wolves was to keep populations of wildlife, including elk, claimed to be over abundant in YNP, under control. Yellowstone was supposedly being destroyed by too many elk, now we need to send the wolves to the farms and ranchers to feed because they eat too many elk, not many are left. Manage the predators or not, trying to feed privately owned livestock to the wolves or their stock feed to the elk so the wolves have more to eat is not smart. This is a problem created by well paid “researchers”, including Smith, and problem is an over abundance of protected predators and profitable “research” grants. Humans need affordable meat also, producers of that food are NOT the problem, and humans are actually more important than research grant raised wolves.
Great article Mike: Give credit where credit is due – private landowners commonly winter our elk herds without compensation; that is, private enterprise absorbs much of the cost for feeding the PUBLICS wildlife. And, research has finally documented the migration corridors like never before. There is some opportunity for county land use plans to include migration corridors and the BLMs Resource Management Plan revisions should definitely include the migration corridors with something like a NSO ( no surface occupancy ) designation.
Sublette County is currently addressing this very issue in the Bondurant vicinity where development could severely impact wildlife habitat – more potential loss of habitat due to spillover from Jackson Hole. The issue revolves around the countys land use plan, recommendations of the land use planning board and whether or not the commissioners made an arbitrary and capricious decision. Watch this case closely its a very important one.
And, irrigation water is super important for our wildlife – wintering on private bottom land oftentimes depends on an abundance of alfalfa and hay. The water rights of our NW Wyoming irrigators must be protected in order for our elk to thrive. Sorry, Arizona and Las Vegas.
Really good news that the USDA has some funding available for the Absaroka front – exactly the protective action that’s needed at this time. Fight the good fight.
Lee, quick question for you: what was here first – wildlife (elk) or ranchers? Another question: where did brucellolis (sp) originate from – native wildlife or european introduced bovines?